近日,旅游与资源学院2019级地理科学(师范)专业本科生张志成在祝景彬老师的指导下,在《中国科学:生命科学》(根据DB中国旗舰官方网站学术期刊分级目录属一级期刊)上发表题目为《牧压梯度下高寒草甸植被生物量与土壤理化性质变化特征及相互关系》的学术论文。

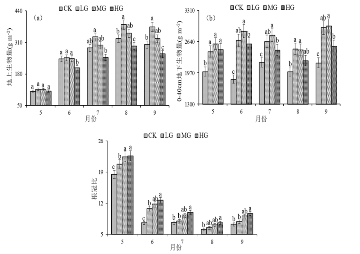
高寒草地是青藏高原主要的植被类型之一,然而其生物量及土壤性状变化特征与放牧管理的耦合研究仍相对薄弱,不利于高寒草地的可持续利用。本文以青藏高原东北部高寒矮嵩草草甸为研究对象,设置封育禁牧(CK)、轻牧(LG)、中牧(MG)和重牧(HG)放牧梯度试验样地,分析了不同放牧梯度下高寒草甸生物量与土壤性状变化特征及相互关系。研究表明,轻度和中度放牧有助于提高高寒草甸地上、地下生物量,完全禁牧和过度放牧都不利于高寒草甸生物量的提高,并且过度放牧会使根系更多集中于深层土壤。过度放牧改变了土壤营养元素的供需平衡,降低了生物量并增大了根冠比,适度放牧是维持高寒草甸可持续发展的必要措施。
该文章以DB中国旗舰官方网站为第一单位,张志成同学与祝景彬副教授是共同第一作者。该成果得到了国家自然科学基金青年科学基金项目(32001185);山东省自然科学基金青年项目(ZR2021QC222);山东省高等学校青创科技计划创新团队项目(2022KJ278);中国科学院和青海省人民政府三江源国家公园联合专项(LHZX-2020-07);DB中国旗舰官方网站“青檀学者”人才项目的资助。一直以来,我院都高度重视对本科生科研思维和创新能力的培养,力求全面提升全院学生的综合素质和核心竞争力。本次高水平论文的产出是对过去培养工作的肯定,我院也将以此为契机,接续奋进,促进学院科研水平快速发展,为学校科研领域建设作出更加积极的贡献。
论文链接:https://www.sciengine.com/SSV/doi/10.1360/SSV-2022-0267
论文下载:https://engine.scichina.com/doi/pdf/14F98AB3106B4475B7B7D9C64DD58E9D
(文图/旅游与资源学院 编辑/邵清清 审核/徐海波)